
알약형 무선 심부온 센서의 최적 연하 시간 결정 : 24시간 연속 측정 직장온과의 비교
This is an Open-Access article distributed under the terms of the Creative Commons Attribution Non-Commercial License (http://creativecommons.org/licenses/by-nc/3.0) which permits unrestricted non-commercial use, distribution, and reproduction in any medium, provided the original work is properly cited.
Abstract
This study sought to assess the reliability of telemetry pill temperatures in relation to ingestion time when compared to the rectal temperature. Six subjects, comprising 3 males and 3 females, aged 29.8 ± 9.0 y, height of 168.5 ± 6.5 cm, body weight of 68.6 ± 17.7 kg, body mass index (BMI) of 23.9 ± 5.0 kg/m2, and body surface area of 1.77 ± 0.23 m2, participated in this study. All the subjects participated in a 24-h trial involving the ingestion of six telemetry pills at 80-min intervals commencing at 4:00 pm. Subjects adhered to their regular activities throughout the 24-h period. Our findings revealed that the temperatures of all six telemetry pills showed a 24-h circadian rhythm, mirroring that of the rectal temperature. However, the pill temperatures displayed more fluctuations in response to the consumption of water or food than those of the rectal temperature. Strong and positive correlations were identified between the rectal and pill temperatures, excluding those temperatures measured approximately 3-h prior to ingestion. No statistically significant differences were observed between rectal and pill temperatures in terms of maximum values, values during sleep, and 24-h averages. Nonetheless, there was a considerable standard deviation (SD) among the six subjects that contributed to these outcomes. We recommend that telemetry pills be ingested at least 3-h prior to the commencement of experiments, along with the controlling food and drinks. However, additional investigations with a larger number of subjects are required to validate these findings.
Keywords:
Core body temperature, Ingestible pill, Hyperthermia, Circadian rhythm, Body temperatureⅠ. 서론
인체의 심부란 인체와 환경과의 열교환 시 외부로부터 영향을 받지 않는 인체 내부 조직을 의미한다(IUPS 2001). 심부온도란, 이론적으로 체온조절 중추가 있는 뇌의 온도를 의미하나, 일상 생활 중 인체의 뇌 온도를 실측할 수 있는 방법은 거의 없기 때문에 구강이나, 직장, 위, 식도, 고막 등의 온도가 심부온도로 간주되어 왔다(Sund-Levander et al. 2002). 심부온도는 항온동물인 인간의 체온 항상성을 판단하는 제1 항목으로 인종이나 연령, 성에 상관없이 약 37.0 ± 0.5℃의 심부온도 범위를 열중성 상태로 간주한다(IUPS 2001). 대표적인 심부온들을 비교한 Kolka et al.(1993)와 Taylor et al.(2014)에 따르면, 안정 시 위내온은 평균 36.8℃ 정도이며 다른 부위에서 측정된 심부온도들에 비해 표준편차가 큰 반면, 안정 시 직장온은 평균 37℃로 위내온보다 약간 높으면서 다른 부위에서 측정된 심부온도들에 비해 표준편차는 적다. 고막(tympanic membrane)이 뇌 주위를 흐르는 혈액의 온도를 잘 반영한다고 여겨져 고막온을 심부온의 대푯값으로 보고하기도 하나(Brinnel & Cabanac 1989), 고막 표면 온도 측정의 기술적 한계로 인해 서미스터 방식의 센서 혹은 적외선 방식의 센서를 이용한 중이온(auditory canal temperature) 측정이 더 선호된다(Greenleaf & Castle 1972). 그러나 중이온은 환경온이 낮은 경우, 혹은 주위에 기류가 존재하는 경우, 다른 심부온도들에 비해 1~2℃ 정도 더 낮으며 피험자 간 표준편차도 커, 불감 기류 조건의 고온 환경에서 측정된 값만이 그 타당도가 인정된다(Jung 2023).
여러 부위 들 중 식도온이 심장에서 나오거나 심장으로 들어가는 혈액의 온도, 특히 좌심실내 혈액 온도를 잘 반영하기 때문에 뇌의 온도를 대체할 수 있는 가장 타당한 심부온이라 간주되기도 하지만(Eichna et al. 1951), 운동을 수행하거나 큰 동작이 포함된 실험 중 유선(wired) 식도온 센서를 이용한 측정의 불안정성으로 인해 보편적으로 사용되지는 않았다. 그러나 20세기 중반 이후 의료기기의 기술이 발전하면서 식도 및 위장, 소장 내부의 온도를 무선으로 측정할 수 있는 알약형 온도 센서(telemetric pill, ingestiable pill, radio pill)들이 상용화되었고, 현재 실험실 현장 뿐만 아니라 소방관이나 군인, 장거리 수영 선수(Keatinge & Neild 1990), 미식 축구선수와 같은 극한 현장에도 알약형 센서를 사용한 심부온 측정이 적용되고 있다. 예를 들어, 미식 축구 선수들의 경우 여러 겹의 보호 장비 착용과 과격한 운동량으로 인해 연평균 약 6명의 선수들이 경기 중 고체온증으로 사망하는 등 서열 질환 발병율이 매우 높다고 알려져 있는데(Grundstein et al. 2012), 이로 인해 실제 무선 알약형 온도 센서를 이용해 시합 중인 선수들의 심부온이 모니터링되기도 한다.
무선 알약형 온도 센서를 이용하여 인간의 심부온을 추정하고자 시도한 연구들은 1960년대 초반 Radio pill이란 이름으로 최초 보고되었고(Fox et al. 1961), 센서의 기술적 개선을 거듭하여 1990년 대 이후 병원이나 미육군 연구소, NASA에서 수행된 연구들에 이용되기 시작하였다. Mittal et al.(1991)은 병원 환자들의 심부온을 편리하고 정확하게 추정하기 위한 목적으로, 당시 새롭게 개발된 무선 알약형 센서의 타당도를 기존 서미스터 센서와 비교하였으나 실제 인간 피험자 대상이 아닌 고온과 저온의 물이 담겨진 수조를 사용하여 그 타당도를 검증하였다. 미육군 연구소에서 수행된 Kolka et al.(1993)의 연구에서는 인간 피험자를 대상으로 알약형 온도 센서(CoreTemp 센서, USA)의 타당도를 검증하기 위해 직장온 및 식도온과 비교하였고, 그 결과 알약형 온도 센서로 측정된 온도는 식도온도와 통계적으로 다르지 않은 반면 직장온도보다는 평균 0.2℃ 낮았다. 그러나, 피험자들은 측정 2시간 전에 알약형 온도 센서를 삼키었기 때문에 초기 안정기 약 한 시간 동안 불안정한 값들이 관찰되었으며, 특히 두 명의 피험자로부터 이상값들이 관찰되었다. Sparling et al.(1992)도 운동을 수행하는 동안 무선 알약형 온도 센서로 측정된 값과 직장온도를 비교한 결과 알약형 온도 센서로 측정된 값이 직장온에 비해 평균 0.4℃(휴식 시)와 0.8℃(운동 시) 더 낮았으며 이 차이는 통계적으로 유의했다고 보고하였다. 이 연구에서도 피험자들에게 측정 시작 3~9시간 전에 알약형 센서를 삼키게 하는 등 피험자별 상황에 따라 삼키는 시간에 큰 편차가 존재했다. Rav-Acha et al.(1993)은 선행 연구들 리뷰를 통해 알약 센서로 측정된 온도와 직장온, 혹은 식도온 간 강한 상관관계가 존재한다고 요약하였다. 미육군 연구소에서 수행된 O’Brien et al.(1998)의 연구에서는 고온과 저온 환경에서 휴식 시 또는 운동을 수행하는 동안 알약형 온도 센서(CoreTemp 사)의 타당도를 평가하기 위해 알약온과 직장온, 식도온을 비교하였고 그 결과 알약온과 직장온 간의 차이는 찬물에서 평균 0.43℃, 따뜻한 물에서 평균 0.15℃, 알약온과 식도온 간의 차이는 찬물에서 평균 0.23℃, 따뜻한 물에서 평균 0.25℃로 심부온도로서의 타당성이 인정되었다. 그러나 알약 센서를 위 속에 위치시키기 위해 피험자들은 측정 시작 10~12시간 전에 알약 센서를 삼켜야 했으며, 삼킨 이후 음식의 영향을 배제하기 위해 금식을 유지하여야 했기 때문에 실험자와 피험자에게 추가적인 부담을 주는 실험이었다(O’Brien et al. 1998). 알약 온도의 반응 속도는 운동 시작 단계나 운동의 강도가 변하는 시점에서 식도 온도보다는 느렸지만 직장온도보다는 빠르게 변화하였다(Byrne & Lim 2007).
알약 센서를 삼킨 시간대를 주요 연구별로 비교해 보면, 측정 시작 30분 전(Gibson et al., 1981), 40분 전(Ducharme et al. 2001), 2시간 전(Kolka et al. 1993), 2~3시간 전(Bogerd et al. 2018), 6시간 전 (Lee et al. 2000), 8시간 전(Gavin et al. 2016), 12시간 전(O’Briuen et al. 1998) 등으로 연구자들 간 합의된 알약형 센서의 삼킴 시간대는 없다. Darwent et al.(2011)에 따르면, 알약 센서를 삼킨 이후 5시간 동안 측정 오차가 존재했다고 보고하였는데 이는 알약 센서가 식도, 위, 소장 등을 천천히 흘러 내려가면서 발생된 것으로 설명했다. Notely et al.(2020)는 심부온 측정의 대체 수단으로 알약형 온도 센서를 사용하는 연구자들에게 가장 타당한 연하(삼킴) 시간을 제안하기 위해, 고온 환경에서 운동하는 동안 직장온도와 함께 일정 시간대 순으로 삼킨 4개의 알약형 센서(측정 시작 12시간 전, 6시간 전, 3시간 전, 1시간 전 삼킴)를 비교 분석하였다. 그 결과, 안정 시, 운동 시, 운동 후 회복기 모두 네 개 시간대별로 삼킨 알약 센서의 온도와 직장온 간 차이는 약 0.1~0.2℃로 통계적 유의차는 발견되지 않았고 이 결과를 바탕으로 알약형 센서로 측정된 온도가 직장온의 대체온으로 타당하다고 결론지었다.
이러한 다양한 연구들에도 불구하고 심부온 추정을 위해 알약형 온도 센서가 아직 보편적으로 사용되지 않는 이유는 첫째, 동일 시간에 알약형 센서를 삼키더라도 위나 장 움직임의 개인차로 인해 피험자 간 알약형 온도 센서의 위치가 달라 직장온이나 식도온에 비해 피험자 간 편차가 크기 때문이며, 둘째, 이러한 개인차를 최소화하기 위해 가능한 일찍 알약을 삼켜 소장이나 대장에 위치하도록 유도하는데, 실험 시작 최대 12시간 전에 삼키게 하기 위해 실험 예정일 전날 미리 피험자에게 활성화된 알약형 센서가 전달되어야 한다는 점이 실험자에게 불편을 초래하기 때문이다. Notley et al.(2020)는 알약형 온도 센서의 삼킴 시점에 따른 심부온 값에서 차이가 없었다고 보고했으나 이와 유사한 연구는 거의 없기 때문에 후속 연구를 통한 확인이 필요하다. 셋째, 직장온이나 식도온 센서는 정해진 매뉴얼에 따른 소독 후 동일 피험자에게 여러 번 반복 사용 가능하나, 알약형 센서는 1회 사용된 후 버려지는 고비용 센서이기 때문에 아직 보편적으로 사용되지 않는다. 나아가 알약형 온도 센서의 타당도 검증을 위해 수행된 대부분의 연구들은 단시간의 휴식이나 운동 프로토콜 하 수행된 반면, 24시간 일상 생활 중 심부온과 비교 분석된 연구는 거의 없다. 인간의 심부온은 저녁에 점점 낮아지기 시작하여 새벽에 가장 낮고 아침 각성과 함께 상승하다가 오후에 최고값에 이르는 사인 곡선의 일주기 리듬을 가지기 때문에, 인체 내부 한 곳에 고정되어 있지 않고 식도, 위장, 소장, 대장의 움직임에 따라 점점 아래로 내려가는 알약온의 변화를 24시간 일주기 리듬을 고려하여 연속 관찰해 볼 필요가 있다. 24시간 연속 관찰은 수면 시의 변화 뿐만 아니라 식사 및 운동의 영향까지 모두 반영하기 때문에 알약형 온도 센서를 이용한 심부온의 타당도 평가에 매우 유용한 방법이다. 이에 본 연구에서는 24시간 동안 알약형 온도 센서의 연하 시간에 따른 알약온의 타당도를 직장온의 변화와 비교하여 분석하였다. 본 결과는 실제 알약형 온도 센서를 사용하는 실험자들에게 유용한 실험 지침으로 사용될 수 있을 것이다.
II. 연구방법
1. 피험자
본 연구에는 건강한 한국인 성인남녀 총 6명(남자 3명, 여자 3명; 나이 29.8 ± 9.0세, 신장 168.5 ± 6.5 cm, 체중 68.6 ± 17.7 kg, 체질량지수[BMI] 23.9 ± 5.0 kg/m2, 체표면적[BSA] 1.77 ± 0.23 m2)이 참여하였다(Table 1). 체표면적은 한국인 체표면적 추정식(Lee et al. 2008)을 사용하여 계산하였다. 여성 3인 모두 생리주기를 고려하여 난포기에 실험에 참여하였다. 피험자 6인 모두 대한민국 서울에 거주하는 대학생, 대학원생, 또는 전문 연구자로 육체 노동 작업자는 없었다. 모든 피험자는 실험 참여 전 24시간 동안 음주 및 과도한 운동 등을 금지하도록 교육되었으며, 참여 전 실험 내용에 대한 자세한 설명을 듣고 이해한 후 동의서에 자발적으로 서명하였다. 본 실험은 서울대학교 연구윤리위원회의 승인을 받았다(IRB No.2204/002-009).
2. 실험과정 및 측정항목
본 연구는 2022년 4월부터 8월까지 약 4개월 동안 수행되었으며, 실험 당일의 피험자가 활동한 실외의 기온과 습도는 실험 당일의 기상청 자료를 참고하였다. 모든 피험자들은 실험 당일 16:00시부터 다음날 16:00시까지 총 24시간 동안 실험에 참여하였으며, 24시간 동안 직장온과 알약형 심부온 센서 그리고 24시간 활동일지(수면시간, 화장실, 음식 섭취 등)를 작성하도록 하였다(Table 2). 직장온은 전용 서미스터 센서와 데이터 로거(LT-8A, Gram Corp., Japan)를 이용하여 1분 간격으로 24시간 연속 기록하였으며, 피험자의 각 신장에 적합한 직장 깊이(신장 대비 14~16 cm)로 직장온 센서를 삽입하게 하였다. 알약형 온도 센서와 전용 데이터 로거(e-Celsius, BodyCap, Herouville-Saint-Clair, France)를 사용하여, 피험자들은 첫날 오후 4시에 첫 번째 알약형 온도 센서를 삼켰으며, 이후 80분 간격(16:00, 17:20, 18:40, 20:00, 21:20, 22:40)으로 총 6개의 알약형 온도 센서를 삼켰다. 알약 온도는 전용 무선 데이터 로거를 통해 1분 간격으로 24시간 동안의 데이터를 연속 수신하였다. 모든 피험자들은 정해진 실험 프로토콜이 아닌 평소와 같은 패턴대로 일상 생활을 하도록 하였다. 측정 시작 전과 측정 동안 운동이나 샤워, 수면시간, 음수, 식사 등의 일상 활동에 있어 제약을 두지 않았으나, 알코올 섭취나 과도한 운동은 금지하였고 사전 교육을 통해 화장실, 수면, 음수 및 식사 등의 24시간 활동일지를 본인이 직접 작성하도록 하였다. 직장온 센서는 화장실을 이용하는 동안에는 제거하였다가 재삽입하도록 교육하였다. 피험자 6인이 삼킨 모든 알약은 실험 종료 48시간 이내에 모두 몸 밖으로 배출되었다.
3. 통계분석
피험자 6인의 24시간 연속 데이터를 개별값을 이용하여 그림으로 나타내었다. SPSS 26.0 통계 패키지를 이용하여 시간대별 값을 평균과 표준편차(Mean ± SD)로 나타내었다. 연하 시간대별 여섯 개의 알약 센서 온도와 직장온 간의 비교는 일원 배치 반복 측정 분산분석을 이용하였으며, Tukey의 사후분석으로 일곱 개 집단(알약 센서 여섯 개로 측정한 알약온 여섯 개 값 + 직장온 한 개 값) 간 차이를 검증하였다. Pearson의 상관분석을 이용하여 두 변수들 간 상관계수를 계산하였다. 통계적 유의도는 p<0.05로 정하였다.
III. 결과
1. 심부온의 24시간 리듬
피험자 6인의 24시간 심부온 개별 데이터를 피험자별로 정리하여 Fig. 1에 제시하였다. 측정 시작(오후 4시) 시점에서 직장온(Fig. 1에서 빨간색 선)은 36.5~37.5℃ 범위였으며, 여섯 명 모두 수면 시 낮아졌다가 오전 기상 직전 서서히 상승하였고, 식사를 마친 직후 약간 상승하는 경향이 발견되었다. 24시간 측정 동안 직장온도의 최저값은 약 36.0~36.5 ℃ 로 수면 중 발견되었으며, 직장온의 최대값은 주간 일상 생활 중 37.5~38.0℃로 최저값과 최고값 간 약 1.0~1.5℃의 차이를 보였다. 알약온의 24시간 변화 양상은 직장온과 유사하였으나, 삼킴 초기부터 약 4시간까지 간헐적이지만 급격한 온도 저하가 발견되었고 특히 따뜻하거나 차가운 음식 또는 음료를 마시는 경우 그에 따른 크고 작은 온도 변동이 발생하였다. 알약 센서가 식도 또는 위장 내 위치할 것으로 추정되는 시간(삼키고 3~4시간이 지니지 않은 시점)에 찬 음료를 마시는 경우 알약온의 급격한 저하가 관찰되었다. 피험자들의 취침 시간은 밤 11시에서 새벽 4시로 다양하였으며, 수면 중 알약온은 비교적 안정화되면서 알약온과 직장온과의 차이는 주간 일상 활동 시에 비해 상대적으로 줄어들었다(Fig. 1).
2. 연하 시간에 따른 여섯 개의 알약온과 직장온 비교
연하 시간에 따른 여섯 개의 알약온들과 직장온의 24시간 평균값, 수면 중의 평균값, 그리고 최대값을 비교한 결과 세 가지 모두에서 일곱 개 집단 간 유의한 차이는 발견되지 않았다(Fig. 2). 본 연구에서는 차가운 음료 섭취에 의한 알약온의 급격한 저하 및 알약형 온도 센서가 체외로 빠져나가는 시점에서의 온도 등이 최저값에 반영될 수 있어 알약온과 직장온의 최저값을 서로 비교하지는 않았다. 24시간 측정된 값 중 심부온의 최대값은 직장온보다 알약온에서 다소 큰 경향이 발견되었으나 통계적으로 유의한 차이는 아니었으며, 알약온의 표준편차가 직장온보다 큰 값을 보여 주었다(Fig. 2).
Comparisons of the rectal (Tre) and the six telemetric pill temperatures: Maximum value, 24-h average value, and average value during sleep (Numbers on the X-axis represent the six pills according to the ingestion time; N.S., not significant).
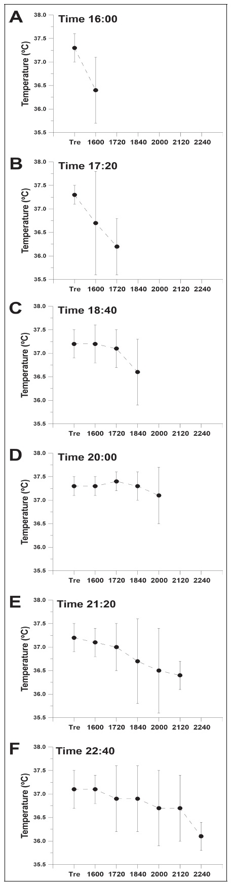
알약형 센서를 삼킨 직후 각 시간대 별로 정각에서부터 10분간의 평균값을 구해 해당 구간에서의 직장온 평균과 비교해 보았다(Fig. 3). 예를 들어, 16시~16시 10분에는 피험자 체내에 직장온 센서와 알약형 센서 한 개만 있으므로 10분 간 측정된 평균 비교에는 두 집단만 비교되었으며(Fig. 3A), 17시 20분~17시 30분에는 피험자 체내에 직장온 센서와 알약형 센서 두 개가 있으므로 세 집단의 10분 평균 값이 비교되었고(Fig. 3B), 18시 40분~18시 50분에는 직장온과 알약형 센서 세 개 비교(Fig. 3C), 20시~20시 10분에는 직장온과 알약형 센서 네 개 비교(Fig. 3D), 21시 20분~21시 30분에는 직장온과 알약형 센서 다섯 개 비교(Fig. 3E), 22시 40분~22시 50분에는 직장온과 알약형 센서 여섯 개가 비교되었다(Fig. 3F). Fig. 3A~3F의 비교들 모두 두 개~일곱 개 심부온도들 간 유의한 차이는 발견되지 않았는데, 이는 알약온의 피험자들 간 표준편차가 상당히 컸기 때문이었다(Fig. 3). Fig. 3F의 경우, 22시 40분 시점에서 삼킨 알약온의 온도가 다른 알약온들에 비해 다소 낮은 값을 보였으나, 그 이전 삼킨 알약온들에서 보여진 큰 표준편차로 의해 집단 간 유의한 차이는 발견되지 않았다(Fig. 3).
3. 알약온과 직장온 상관
최초 알약형 센서를 삼킨 후 3시간이 경과한 오후 7시 시점, 두 번째 알약형 센서를 삼킨 후 3시간이 경과한 밤 20:20 시점 등 각 알약 센서를 삼킨 후 3시간이 지난 시점들을 기준으로, 해당 시점 체내 존재하는 알약온과 직장온과의 상관분석을 실시한 결과, 대부분의 경우 알약온과 직장온 간 유의한 양의 상관이 발견되었으나, 알약 센서를 삼킨 지 3시간이 지나지 않은 시점에서는 상관관계가 존재하지 않는 경우들이 발견되었다(Table 2).
IV. 고찰
심부온의 실시간 모니터링을 위해 개발된 무선 알약형 센서가 기존 서미스터 방식의 유선(wire)형 온도 센서들에 비해 편리하고 안전하다는 큰 장점에도 불구하고, 연구들 간 알약형 센서를 삼키는 시간대의 불일치로 인해 측정된 값들의 편차가 크다는 점이 단점으로 지적되어 왔다. 본 연구에서는 80분 간격으로 총 여섯 개의 알약형 온도 센서를 차례로 삼키고 24시간 일상 생활을 영위하는 동안 알약온과 직장온도와의 차이를 비교하였다. 취침과 기상, 식사, 활동 등을 포함하는 24시간 일주기 변화 양상은 직장온과 알약온 간 큰 차이 없이 유사했으나 음식 섭취 이후 혹은 음료를 섭취하는 동안 알약온의 급격한 증감이 관찰되었다. 삼킴 시간대별 알약온을 직장온과 비교한 결과 예상과 달리 집단 간 유의한 차이가 발견되지 않았는데 이는 피험자 간 큰 표준편차에 기인한다. 직장온과 삼킴 시간대별 알약온 간의 상관을 분석한 결과 대체로 알약을 삼키고 2~3시간 정도가 지난 이후부터 직장온과의 매우 강한 양의 상관 관계가 발견되었다. 이러한 결과는, 심부온 추정을 위해 알약형 온도 센서를 사용하는 경우, 적어도 측정 3시간 전에는 알약 센서를 삼켜야 하며, 측정 시작까지 또는 측정 중 식사나 음수를 포함하는 경우 알약온에 직접적인 영향을 미칠 수 있음을 고려해야 한다. 다만, 본 연구에 참여한 피험자 수는 총 6인으로 충분하지 않았으며, 특히 남성 3인과 여성 3인으로 구성하였기 때문에 단일 성으로만 피험자를 구성하는 경우보다 더 큰 표준편차가 관찰되었을 가능성이 크다. 자세한 논의는 아래와 같다.
1. 알약형 온도센서의 적정 연하 시간 및 식사/음수 제한
서론에 서술한 바와 같이 선행 연구들에서 알약형 온도 센서를 삼킨 시간대를 보면, 측정 시작 30분 전(Gibson et al. 1981), 40분 전(Ducharme et al. 2001), 2시간 전(Kolka et al. 1993), 2~3시간 전(Bogerd et al. 2018), 6시간 전 (Lee et al. 2000), 8시간 전(Gavin et al. 2016), 12 시간 전(O’Briuen et al. 1998) 등으로 다양하다. 본 연구 결과 실험 시작 최소 3시간 전, 충분한 여유를 둔다면 실험 시작 4시간 전에 알약 센서를 삼키고 알약형 온도 센서를 삼킨 이후 식사 및 차가운/뜨거운 음료 섭취를 금지한다면 타당한 수준에서 심부온을 반영할 수 있을 것이라 사료된다. 보통, 직장온 등 심부온을 측정하는 실험일 경우, 음식의 소화 과정 중 발생하는 특이 동적 작용(Specific dynamic action)에 의한 산열 효과를 최소화하기 위해 실험 시작 전 최소 2시간 동안 금식을 규정한다. 본 연구에서는 알약형 온도 센서를 실험 시작 최소 3시간 전 삼키기를 권장하기 때문에 피험자들은 실험 시작 전 최소 3시간 동안 금식을 권장한다. 그러나 실외에서 근무하는 작업자 현장 모니터링이나 실험실 실험 등은 주로 아침에 시작된다. 가령 오전 9시에 측정이 시작된다고 가정하면 피험자들은 오전 5~6시에 알약형 온도 센서를 삼켜야 하므로, 알약형 온도 센서를 사용하여 실험을 수행하고자 하는 경우 피험자들의 아침 식사는 제한적이 될 수 밖에 없으며 이는 오히려 인체 대사량 및 심부온, 인체 수분 대사 등에 부정적 영향을 미칠 수 있다. 따라서, 알약형 온도 센서를 삼킨 후 가능한 빨리 아침 식사 및 음수를 권장하여 음식의 체내 소화로 인한 특이 동적 작용 효과를 최소화 할 필요가 있다. 다만, 자유 음수 실험 프로토콜에서 측정 중 피험자에게 물을 제공하는 경우 너무 차가운 물이 아닌 상온의 물을 제공하는 것이 알약 온도의 편차를 줄일 수 있다. 그럼에도 연구자들에게 알약형 온도 센서의 선택을 망설이게 하는 현실적 문제가 존재하는데, 이는 피험자들이 오전 5~6시에 알약 센서를 삼킬 수 있게 하기 위해 알약형 온도 센서를 실험 전날 미리 피험자에게 전달해야 한다는 점이다. 알약형 온도 센서와 함께 센서를 활성화시키는 데이터 로거도 함께 전달되어야 하기 때문에 이는 실험자들의 추가 수고를 요구한다. 앞으로 기술의 발전이 이루어져, 비활성화 상태인 알약형 온도 센서가 체내에 들어간 상태에서 체외에서 무선으로 센서를 활성화시킬 수 있게 된다면 심부온 모니터링을 위한 알약형 온도 센서 사용이 좀 더 확대될 수 있을 것이다.
2. 적정 피험자 수
본 연구에 참여한 피험자는 총 6인으로, 적은 피험자 수로 인해 피험자 간 편차가 매우 크게 나타났다. 이러한 편차로 인해 직장온과 알약온도들 간 유의한 차이가 발견되지 않은 것으로 판단된다(Fig. 3). 무선 알약형 온도 센서의 타당도를 검증한 선행연구들에서 피험자 수는 남자 5명(Livingstone et al. 1983), 남자 6명(Sparling et al. 1993), 남자 7명(Gibson et al. 1981), 총 7명(남자 5명/여자 2명) (Lee et al. 2000), 남자 8명(Kolka et al. 1993), 총 9명(남자 4명/여자 5명) (O’brien et al. 1998), 남자 9명 (Notely et al. 2020), 남자 11명(Ducharme et al. 2001), 남자 19명(Gant et al. 2006) 등으로 본 연구의 피험자 6명이 충분한 숫자는 아님을 알 수 있다. 다만, 선행연구들은 특정 실험 프로토콜을 바탕으로 짧은 시간(약 1~3시간) 동안 심부온도를 기록한 반면, 본 연구에서는 특정 실험 프로토콜을 적용하지 않고 자유로운 일상 생활을 유지하는 동안의 심부온을 24시간 연속 기록하였기 때문에 대규모의 피험자들을 선발하기에는 실험 여건 상 무리가 있었다. 24시간 연속 측정을 통해 피험자 6인 모두 심부온의 일주기 리듬이 존재함을 확인하였으나, 반면 free-running 프로토콜을 적용하였기 때문에 피험자 간 편차가 더 증폭되었을 가능성이 크다. 이상에서 언급한 선행연구들 중 Kolka et al.(1993)와 Sparling et al.(1993)에서만 알약온의 타당도가 통계적으로 인정되지 못하였으며, 나머지 선행연구들의 경우 알약온이 유의한 수준에서 직장온을 잘 반영한다고 결론지었다. 따라서 후속 연구에서는 충분한 수의 남녀 피험자를 모집한 후, 인공기후실 내 정해진 24시간 프로토콜(동일한 환경 온습도, 동일 강도의 운동, 동일한 식사, 동일 시간대 취침/기상, 동일한 실험복 착용 등)을 적용하여 알약형 온도 센서의 타당도를 추가 검증해 볼 필요가 있다. 이러한 연구들의 축적을 통해 실외 극한 현장 작업자의 고체온증 혹은 저체온증 예방을 위한 개인 맞춤형 실시간 모니터링 시스템이 구축될 수 있을 것이다.
3. 24시간 중 측정 시작 시간
본 연구에서는 기술적 이유로 피험자 6인 모두 오후 4시에 실험에 참여하여 익일 오후 4시에 측정을 종료하였다. 피험자별로 준비된 여섯 개의 알약형 온도 센서를 오후 4시부터 80분 간격으로 삼켜 마지막 여섯 번째 알약형 온도 센서는 밤 10시 40분에 삼키도록 하였다. 서론에서 언급한 바와 같이, 인간의 심부온은 24시간 주기를 가지는데 취침과 함께 낮아지다가 기상(각성) 전후를 기점으로 점점 오르기 시작하며, 오후 최고값에 이른 후 밤이 되면 다시 낮아진다(Choi et al. 2015). 일상 생활 중 심부온은 일반적으로 약 1~2℃의 범위(예: 수면 시 36.5℃, 고강도 운동 시 38.5℃)를 보이는데, 오전에는 심부온이 점점 증가하는 경향을 보이며, 오후에는 점점 낮아지는 경향을 보인다. 본 실험은 오후 4시에 시작하였기 때문에 정상적인 체온의 일주기 리듬에 따라 (고강도의 운동을 통해 대사량을 높이지 않는 한), 심부온은 점점 낮아지는 경향을 보이다가 취침과 함께 최저온(일반적으로 건강한 성인의 수면 시 최저 직장온은 36.0~36.5℃)에 도달한 후 안정화 될 것으로 예상할 수 있다. 저녁에 심부온이 점점 낮아지는 일주기 리듬으로 인해 오후 4시에 시작된 알약온 측정값들의 안정화(Fig. 1에서 수면 시 참고)로 자연스럽게 수렴되었을 가능성이 있으며, 이로 인해 수면 중 직장온과 알약온들 간의 차이도 최소화되었을 수도 있다. 본 실험과 동일한 실험을 오후 4시가 아닌 이른 아침에 시작할 경우 자연스럽게 증가하는 심부온의 일주기 리듬에 따라 38.0~38.5℃까지 쉽게 상승하여 측정값들 간의 편차는 더욱 증가했을 가능성도 있다(안정 시 직장온 기준 37.0℃). 추가로, 아침에 실험을 시작하는 경우 수 시간 내 걷기나 뛰기 등 다양한 강도의 다리 운동이 이루어질 가능성이 더 크고, 대퇴 근육 대사량 증가로 식도나 위장 내 온도보다 직장 내부 온도가 더 상승하는 경향이 있기 때문에 알약온과의 차이는 더 커질 수도 있다. 즉, 본 연구는 오후 시간대에 측정을 시작하여 직장온과 알약온 6종 간 편차가 오전 시간대에 측정을 시작할 경우에 비해 상대적으로 적었을 가능성도 있음을 고려해야 한다.
V. 요약 및 결론
본 연구는 심부온 모니터링을 위해 사용되고 있는 무선 알약형 온도 센서의 타당한 사용, 특히 삼킴 시간대를 포함한 실험자용 지침을 제안하고자 수행되었다. 본 연구가 기존 연구들과 구별되는 점은, 첫째, 심부온을 24시간 동안 연속 측정하였기 때문에 심부온의 일주기 리듬에 따른 변화 속에서 알약온과 직장온 간의 차이를 비교분석 할 수 있었다는 점, 둘째, 측정 시작 시점에서 총 80분 간격으로 알약 센서 여섯 개를 삼키었기 때문에 체내 소화기관을 흘러 내려가는 동안 알약형 센서에서 측정되는 온도의 안정성을 평가할 수 있었다는 점이다. 본 연구 결과 알약온은 심부온이 보여 주는 전형적인 24시간 일주기 리듬을 잘 반영하였고, 실험 시작 최소 3시간 이전에 알약형 온도 센서를 삼킨다면 직장온과 유의한 차이는 없을 것으로 사료된다. 본 연구 결과를 바탕으로 연구자들을 위한 실험 지침은 다음과 같다. 첫째, 측정 시작 약 4시간 이전, 또는 최소 3시간 이전에 피험자가 알약형 온도 센서를 삼킬 수 있도록 실험을 준비해야 한다. 둘째, 하루 중 측정이 이루어지는 시간대, 섭취된 음식의 소화 시 특이 동적 작용(대사량 증가로 인한 심부온 상승), 섭취된 음료의 온도(찬 음료에 알약 센서가 직접 닿는 경우 급격한 온도 하락 발생) 등이 알약온에 복합적인 영향을 미칠 수 있으므로 이러한 외생변수들을 고려한 실험 프로토콜이 구성될 필요가 있다.
Acknowledgments
본 연구는 한국연구재단 기초연구실사업(2022R1A4A5034046)과 삼성전자 종합기술원의 지원으로 수행되었습니다. 연구 행정에 도움을 준 허윤정과 정호연, 영문 교정에 도움을 준 Andrew Gorski에게 감사드립니다.
References
-
Bogerd CP, Velt KB, Annaheim S, Bongers CCWG, Eijsvogels TMH, Daanen HAM(2018) Comparison of two telemetric intestinal temperature devices with rectal temperature during exercise. Physiol Meas 39(3), 03NT01.
[https://doi.org/10.1088/1361-6579/aaad52]
- Brinnel H, Cabanac M(1989) Tympanic temperature is a core temperature in humans. J Therm Biol 14, 7-53
-
Byrne C, Lim CL(2007) The ingestible telemetric body core temperature sensor: a review of validity and exercise applications. Br J Sports Med 41(3), 126-133.
[https://doi.org/10.1136/bjsm.2006.026344]
-
Darwent D, Zhou X, van den Heuvel C, Sargent C, Roach GD(2011) The validity of temperature-sensitive ingestible capsules for measuring core body temperature in laboratory protocols. Chronobiol Int 28(8), 719-726.
[https://doi.org/10.3109/07420528.2011.597530]
- Ducharme MB, McLellan TM, Moroz D, et al. (2001) A 36 hour comparison of core temperature at rest and during exercise using rectal probe and pill telemetry. [abstract] Pro Aust Physiol Pharmacol Soc 32, p.28
- Edwards B, Waterhouse J, Reilly T, Atkinson G (2002) A comparison of the suitabilities of rectal, gut, and insulated axilla temperatures for measurement of the circadian rhythm of core temperature in field studies. Chronobiol Int 19, 579-597
- Eichna LW, Berger AR, Rader B, Becker WH(1951) Comparison of intracardiac and intravasular temperature with rectal temperature in man. J Clinic Invest 30(4), 353-359
- Fox RH, Goldsmith R, Wolff HS(1962) The use of a radio pill to measure deep body temperature. J Physiol Lond 160, 22-23
- Gant N, Atkinson G, Williams C(2006) The validity and reliability of intestinal temperature during intermittent running. Med Sci Sports Exerc 38, 1926-1931
- Gibson TM, Redman PJ, Belyavin AJ(1981) Prediction of oesophageal temperatures from core temperatures measured at other sites in man. Clin Phys Physiol Meas 2, 247-252
- Greenleaf JE, Castle BL(1972) External auditory canal temperature as an estimate of core temperature. J Appl Physiol 32(2), 194-198
-
Grundstein AJ, Ramseyer C, Zhao F, Pesses JL, Akers P, Qureshi A, Becker L, Knox JA, Petro M(2012) A retrospective analysis of American football hyperthermia deaths in the United States. Int J Biometeorol 56(1), 11-20.
[https://doi.org/10.1007/s00484-010-0391-4]
- IUPS(2001) Glossary of terms for thermal physiology (3rd edition). The Commission for Thermal Physiology of the International Union of Physiological Sciences (IUPS Thermal Commission)
- Keatinge WR, Neild PJ(1990) Use of rectal radiopill to monitor human body core temperature during four mile swim across Beagle Channel, Tierra del Fuego [abstract]. J Physiol 430, 93
-
Kolka MAM, Quigley D, Blanchard LA, Toyota DA, Stephenson LA(1993) Validation of a temperature telemetry system during moderate and strenuous exercise. J Therm Biol 18, 203-210.
[https://doi.org/10.1016/0306-4565(93)90004-D]
- Lee SMC, Williams WJ, Schneider SM(2000) Core temperature measurement during submaximal exercise: esophageal, rectal, and intestinal temperatures. NASA Center for AeroSpace Information Technical Report NASA/TP, 210133
- Lee JY, Choi JW, Kim H(2008) Determination of body surface area and formulas to estimate body surface area using the Alginate method. J Physiol Anthropol 27(2), 71-82 Livingstone SD, Grayson J, Frim J, Allen CL,
- Limmer RE(1983) Effect of cold exposure on various sites of core temperature measurements. J Appl Physiol 54, 1025-1031
- Mckenzie JE, Osfood DW(2004) Validation of a new telemetric core temperature monitor. J Therm Biol 29, 605-611
- Mittal BB, Sathiaseelan V, Rademaker AW, Pierce MC, Johnson PM, Brand WN(1991) Evaluation of an ingestible telemetric temperature sensor for deep hyperthermia applications. Int J Radiat Oncol Biol Phys 21, 1353-1361
-
Notley S, Meade RD, Kenny GP(2020) Time following ingestion does not influence the validity of telemetry pill measurements of core temperature during exercise-heat stress. Temperature 8(1), 12-20.
[https://doi.org/10.1080/23328940.2020.1801119]
-
O’Brien C, Hoyt RW, Buller MJ, Castellani JW, Young AJ(1998) Telemetry pill measurement of core temperature in humans during active heating and cooling. Med Sci Sports Exerc 30(3), 468-472.
[https://doi.org/10.1097/00005768-199803000-00020]
- Rav-Acha M, Heled Y, Slypher N, Moran DS (2003) Core body temperature monitoring using the telemetric pill. Harefuah 142(3), 197-202
- Sparling PB, Snow BS, Millard-Stafford ML(1993) Monitoring core temperature during exercise: ingestible sensor vs. rectal thermistor. Aviat Space Environ Med 64, 760-763
- Sund-Levander M, Forsberg C, Wahren LK(2002) Normal oral, rectal, tympanic and axillary body temperature in adult men and women: a systematic literature review. Scand J Caring Sci 16, 122-128
-
Taylor NAS, Tipton M, Kenny G(2014) Considerations for the measurement of core, skin and mean body temperatures. J Therm Biol 46, 72-101.
[https://doi.org/10.1016/j.jtherbio.2014.10.006]
-
Teunissen LPJ, de Haan A, de Koning JJ, Daanen HAM(2012) Telemetry pill versus rectal and esophageal temperature during extreme rates of exercise-induced core temperature change. Physiol Meas 33(6), 915-924.
[https://doi.org/10.1088/0967-3334/33/6/915]


